CSE308 - Tutorial 4 - Linear Time Temporal Logic
Setup
Download and extract the files of the tutorial CSE308-TD4-1-handin.zip.
You’ll have a folder called CSE308-TD4-1-handin.
Today we will work with an existing model checker, NuSMV, and try to understand linear temporal logic.
You need to install the NuSMV model checker to work on this tutorial. You can download NuSMV here for your platform. If you work on a linux, x86-64, machine you can probably setup everything via terminal with the following commands (any recent version of NuSMV will work):
$ cd
$ wget https://nusmv.fbk.eu/distrib/NuSMV-2.6.0-linux64.tar.gz
$ tar xf NuSMV-2.6.0-linux64.tar.gz
Now, you’ll have an executable for NuSMV in the folder
NuSMV-2.6.0-Linux/bin. NuSMV has a command line interface,
so you have to run it from a terminal (powershell on windows works
too).
Symbolic representation and the NuSMV language
The NuSMV model checker takes as input a transition system (as the one we used in class) and a set of specifications (we will see invariant properties and LTL properties). However, the transition system is represented symbolically by means of propositional logic formulas, instead of having an explicit representation as a graph. The symbolic representation is useful in circuit design and other contexts, and we will see more of that in the second part of the course.
We will first see how we can express a transition system using logic and then we will use the NuSMV input language to express such systems.
Symbolic Transition Systems for a 2 bit counter
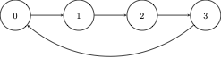
Consider the following (explicit) transition system that counts from 0 to 3 and then resets to 0 and starts counting again:
Consider a set of atomic propositions \(AP=\{b_0, b_1\}\). In the symbolic representation, we represent sets of states as Boolean formulas. So:
\(\neg b_0 \land \neg b_1\) is a single state (corresponding to the set \(\emptyset\)),
\(\neg b_0 \land b_1\) is a single state (corresponding to the set \(\{b_1\}\)),
\(b_0\) is ta set of states containing \(\{b_0\}\) and \(\{b_0,b_1\}\).
So, we can represent the set of initial states as: \(\neg b_0 \land \neg b_1\) (in this case there’s only one initial state). Differently from the transition system definition we saw in class, we use the set of atomic propositions to directly define the state space of the transition systems (i.e., the set of states \(S = 2^{AP}\)). In practice this difference does not change the systems you can express.
The transition relation describes pairs of “source” states and a “target” states. We represent such relation using a formula. While we have a set of atomic propositions \(AP\), we do not have a set of atomic proposition to express the “target” states (the “next” states the system can move to taking a transition). We just use a new set \(AP' = \{a' \mid a \in AP\}\) that just renames the variables in \(AP\) (so, in our example \(AP' = \{b_0', b_1'\}\)).
We could express the transition relation for the 2-bit counter explicitly enumerating these pairs of states as follows:
\[\left( (\neg b_0 \land \neg b_1) \land (b_0' \land \neg b_1') \right) \lor \left( (b_0 \land \neg b_1) \land (\neg b_0' \land b_1') \right) \lor \ldots\]
If you think a second, you want to express the following relation:
| b1 b0 | b1’ b0’ |
|---|---|
| 0 0 | 0 1 |
| 0 1 | 1 0 |
| 1 0 | 1 1 |
| 1 1 | 0 0 |
So, your transition relation can be much more succint as you can specify individually how the single bits change:
\[ (b_0' \leftrightarrow \neg b_0) \land (b_1' \leftrightarrow ( b_0 \oplus b_1 )) \]
where \(\leftrightarrow\) is the “if and only if” operator (or equality) and \(\oplus\) is the xor operator (the result is 1 only if the two operand are different, 0 otherwise).
That’s it, now you have:
a set of atomic propositions \(AP = \{b_0, b_1\}\),
an initial set of states \(I = \neg b_0 \land \neg b_1\),
a transition relation \(T = (b_0' \leftrightarrow \neg b_0) \land (b_1' \leftrightarrow ( b_0 \oplus b_1 ))\).
The tuple \((AP, I, T)\) defines a symbolic transition system.
Note that we don’t care about the labeling function. We will assume that the states are labeled directly with their assignments. You’ll see we can add more atomic propositions if we need a specific labeling. Also, we don’t represent the actions on the transitions in the symbolic transition system, as we will not look into asynchronous systems today. In practice, also here you can think of adding more atomic propositions to represent the labels on the transitions.
Writing transition systems in NuSMV
The following text describes the counter transition system in the input language of NuSMV:
-- The text following "--" is a comment.
--
-- This is a NuSMV model describing a binary counter with 2 bits.
--
-- All the SMV models have a "main" module that is "instantiated" by default (more later)
MODULE main
-- variable declaration block, can declare veriables
-- of an arbitrary type (also modules, as earlier)
-- WARNING: the language is declarative, the order of declarations does not matter.
VAR
bit0 : boolean;
bit1 : boolean;
-- The set of initial state is 00
-- !: boolean complement
-- &: boolean AND
INIT ! bit0 & ! bit1;
-- Transition relation
--
-- next(formula): constrain the value of the formula in the NEXT STATE (i.e., the
-- "destination" of the transition).
--
-- <->: is the equality operator (i.e., a <-> b := a -> b & b -> a)
--
-- The following formula expresses the following relation between current states and
-- next states (i.e., each line is a transition!)
--
-- Current State | Next state
-- b1 b0 | b1 b0
-- 0 0 | 0 1
-- 0 1 | 1 0
-- 1 0 | 1 1
-- 1 1 | 0 0
TRANS
(next(bit0) <-> !bit0) & -- bit0 is always the complement of bit1
(next(bit1) <-> (bit0 xor bit1)) -- bit1 is 1 when both bit0 and bit1 are
-- different
You can read your model in NuSMV as follows (the model is already in
a file in smv/counter.smv):
$ ./NuSMV -int smv/counter.smv
...
NuSMV >
NuSMV opens an interactive shell that you use to provide commands. You can simulate your model (e.g., take 5 transitions in the transition systems) as follows:
NuSMV > go
NuSMV > pick_state -v
Trace Description: Simulation Trace
Trace Type: Simulation
-> State: 1.1 <-
bit0 = FALSE
bit1 = FALSE
NuSMV > simulate -k 5 -v
******** Simulation Starting From State 1.1 ********
Trace Description: Simulation Trace
Trace Type: Simulation
-> State: 1.1 <-
bit0 = FALSE
bit1 = FALSE
-> State: 1.2 <-
bit0 = TRUE
bit1 = FALSE
-> State: 1.3 <-
bit0 = FALSE
bit1 = TRUE
-> State: 1.4 <-
bit0 = TRUE
bit1 = TRUE
-> State: 1.5 <-
bit0 = FALSE
bit1 = FALSE
-> State: 1.6 <-
bit0 = TRUE
bit1 = FALSE
The commands:
go: read and “process” the model.pick_state: select non-determinstically an initial statesimulate: simulates the system (for-k 5steps and showing all the execution fragment information, i.e., a trace).
NuSMV outputs a trace, a sequence of states visited in the transition system (this corresponds to an execution fragment). Note that NuSMV uses the term trace for the sequence of states and input variables. So, in practice the labeling function is just the “name” of the state in the system.
You can use the documentation and the language tutorial to get a reference on the language syntax and commands.
Modules in NuSMV
The SMV language allows you to write modules, which in some way define part of your final transition system and that you can reuse multiple times. So, for the counter example you could have used a module as follows:
-- All the SMV models have a "main" module that is instantiated by default
MODULE main
-- instantiate a binary_counter
VAR
bc : binary_counter; -- bc is a variable name, binary_counter its type
-- Define the type the binary_counter (i.e., a MODULE)
MODULE binary_counter
VAR
bit0 : boolean;
bit1 : boolean;
INIT ! bit0 & ! bit1;
TRANS
(next(bit0) <-> !bit0) & -- bit0 is always the complement of bit1
(next(bit1) <-> (bit0 xor bit1)) -- bit1 is 1 when both bit0 and bit1 are
-- different
In the main module, you could have created another
binary counter, for example:
-- All the SMV models have a "main" module that is instantiated by default
MODULE main
-- instantiate a binary_counter
VAR
bc : binary_counter; -- bc is a variable name, binary_counter its type
bc2 : binary_counter; -- 2nd counter
The idea is to have a synchronous composition of bc and
bc2, so that the two “sub” transition systems always take a
transition together. You can create submodules and pass parameters when
you instantiate a module (you pass parameter by reference).
Verifying an invariant property on the counter
You will first try to verify an invariant property on the counter
model in smv/counter_spec.smv. The model adds to the binary
counter a decimal counter dc (a variable instantiating a
module of type decimal_counter) that counts from 0 to 3 and
then resets the counter to 0 and continues counting (so, it does not use
our manual encoding of the “binary” operations).
We want to check if the binary counter bc is equivalent
to the decimal counter dc. We write an invariant property
with the keyword INVARSPEC (it is already specified in the
SMV file):
-- Invariant property: in all the states, the value of the
-- two counters must be the same
INVARSPEC (!bc.bit0 & !bc.bit1 & dc.value = 0) |
(bc.bit0 & !bc.bit1 & dc.value = 1) |
(!bc.bit0 & bc.bit1 & dc.value = 2) |
(bc.bit0 & bc.bit1 & dc.value = 3);
We can check the invariant property using the command
check_invar. Read the model in NuSMV (with the command
go), and then use the command check_invar. The
system will tell output
NuSMV > check_invar
-- invariant (((((!bc.bit0 & !bc.bit1) & dc.value = 0) | ((bc.bit0 & !bc.bit1) & dc.value = 1)) | ((!bc.bit0 & bc.bit1) & dc.value = 2)) | ((bc.bit0 & bc.bit1) & dc.value = 3)) is true
Telling you the invariant property holds.
Verifying the counter module with LTL
The SMV model in smv/counter_ltl.smv models a counter
that counts from 0 to 3, and then resets back to 0. In this first
exercise you will write the following LTL specifications:
The counter starts from 0
The counter visits the sequence 0,1,2,3 (from the initial state).
The counter always increments its value in the next state, apart when the value is 3.
The counter always resets the counter to 0 immediately after visiting 3.
The counter visits 0 infinitely often.
The counter visits the sequence 0, 1, 2, 3 infinitely often.
Here’s some hints to get you started with the task.
Writing LTL properties. Start writing the first property and try to verify that using
NuSMV. InNuSMV, the syntax of the LTL operators is:X: Next;G: Globally;F: Eventually;U: Until.
You can express that the counter is always less than 3, which does not hold in the model, with the expression:
LTLSPEC G ! (bit0 & bit1);
LTLSPEC is the NuSMV keyword after which you declare a
LTL property: you write each property in a different
LTLSPEC declaration.
You can write your LTLSPEC property in both the
main or the binary_counter module. In the
main module, you have to add the context of the specific
counter variable you want to verify (e.g.,
LTLSPEC G ! (bc.bit0 & bc.bit1);, where bc
is the name of the module instantiation for the counter). Write the LTL
properties in the binary_counter module, since you don’t
need to tell anything about the rest of the system. You will find an
“empty” LTL property for each property you have to write, e.g. the first
property is named P1:
-- counter always starts from 0
LTLSPEC NAME P1 := TRUE;
Important: use the NuSMV manual if you need help on the language syntax or on the available commands in NuSMV.
Check LTL Properties with NuSMV. We provided you with the file
smv/check_ltl.cmdthat you can use to callNuSMVto read your model and check all the LTL properties in a non-interactive way (so, you don’t have to write the commands every time). Just runNuSMVas follows:$ NuSMV -source check_ltl.cmd counter_ltl.smvThe script is set up so NuSMV will quit at the end of the run (see the last
quitcommand in the command files) and whenever there is an error (e.g., a syntax error in your specification).Understand counter-examples to LTL properties. Consider again the property
LTLSPEC G ! (bit0 & bit1);.NuSMVwill give you an output similar to this:-- specification G !(bit0 & bit1) IN bc is false -- as demonstrated by the following execution sequence Trace Description: LTL Counterexample Trace Type: Counterexample -- Loop starts here -> State: 1.1 <- bc.bit0 = FALSE bc.bit1 = FALSE bc.v0 = TRUE bc.v1 = FALSE bc.v2 = FALSE bc.v3 = FALSE -> State: 1.2 <- bc.bit0 = TRUE bc.v0 = FALSE bc.v1 = TRUE -> State: 1.3 <- bc.bit0 = FALSE bc.bit1 = TRUE bc.v1 = FALSE bc.v2 = TRUE -> State: 1.4 <- bc.bit0 = TRUE bc.v2 = FALSE bc.v3 = TRUE -> State: 1.5 <- bc.bit0 = FALSE bc.bit1 = FALSE bc.v0 = TRUE bc.v3 = FALSEThe counterexample is infinite (i.e., it is an infinite sequence), and repeats the state
1,2,3,4infinitely often (note how 1 and 5 are the same state). In other systems you may have a finite prefix before the sequence that repeats infinitely often. Look for the--- Loop starts here ---text that identifies the first state of a cycle.WARNING: By default, in each state NuSMV prints only the variables that changed from the previous state. If you want a more fine-grained control on what you see, you can use the command
show_traces:show_traces -vthat prints all the variables in each state, also the unchanged ones. You can add this command in the
smv/check_ltl.cmdfile after thecheck_ltlspeccommand (you need to check the LTL property, find a counterexample, and then print a trace). Be carefull,show_tracesprints all the traces the system found (e.g., from all the LTL properties). You can add a-n <number>to print a specific trace. However, what is probably easier is to comment out all the LTL properties you are not looking at currently, so you work on a single property at a time.
A 3-bit Binary Adder
In the following, you will write a 3-bit binary adder. Create a
adder.smv file, you will find a module called
binary_adder that defines 6 boolean variables as inputs,
representing the bit for the operand x and y.
In the file, x0, x1, x2 are the
bits representing the unsigned integer x, where
x0 is the least significant bit.
check_invar command first.
The invariant property in the file states that:
If the input of the binary and the decimal adder are the same, then also the sum is the same.
HINT: The adder is a combinational circuit, so you
do not need to add TRANS constraints.
Note that an easy way to have your property satisfied is to reach a deadlock state. For example, just adding the constraint:
INIT FALSE
is sufficient to make your model “trivially” satisfy the invariant (there are no reachable states, so the invariant condition (“for all state in the set of reachable states of the transition system” holds trivially, since there are no reachable states.
Add (and then check) a LTL property to check such condition.
Verifying the MUL module with LTL
Focus on the mul.smv model. The model contains a module
MUL that implements a multiplication between 2 bit-vectors
of 3-bit width (i.e., a sequence of 3 bits) using repeated additions. In
practice, the module computes the product in several steps instead of a
single one. The module takes as input 3 parameters,
input1,input2, and start:
MODULE MUL(input1, input2, start)
input1, and input2 are the two words to
multiply together and start is a boolean. The module starts
a new computation as soon as the start signal is true
AND the previous computation terminated. When the
computation terminates, the variable result stores the
result of the multiplication. The module uses a boolean variable
is_done that is true when result contains the result of the
multiplication of the values input1 and input2
contained when the computation started.
is_done is false while the module is currently computing
the multiplication. Observe that the value of input1 and
input2 are stored the variables tmp_input1 and
counter repsectively as soon as the computation starts.
Thus, input1 and input2 may change after the
computation started, but the module still computes the multiplication of
their values before the change.
You will write the LTL specification that check if the
MUL module is correct. First, read the following notes to
get a better understanding of the module:
The module uses the
wordtype ofNuSMV(i.e.,VAR wordvar : unsigned word[3]), which describes a bit-vector of a fixed size. We always use unsigned words of size 3, so all numbers are non-negative. NuSMV has operations between bit-vectors (e.g.,&computes the and of all the bits,*is already the product, …) and comparison operators (e.g.,=,>, …). Note that you have to write constants for words of size 3, so0d3_5specifies the decimal number5for a word of 3 bits (thedin0d3_5means decimal,3is the size, and5is the value).The module starts to compute a new multiplication when both
startandis_doneare true. For your convenience, you can use the shortcutstart_computation(see theDEFINEin the module).The
DEFINEis_mul_eq_resultis true whenresultis equal to the pre-defined multiplicationinput1 * input2in NuSMV. You will use this when writing your LTL specifications.In practice, all the variables in the module change differently 1) when the computation starts, 2) when the computation is ongoing, 3) when the computation ends, and 4) when there is no computation. Look at the
TRANSconstraint that specifies howis_donechanges, the other ones follow a similar pattern.The module is instantiated in the
mainmodule as follows:VAR mulv : MUL(main_input1,main_input2,start);where
main_input1,main_input2are the two input words andstarttells when a new computation starts,Observe that
start,main_input1, andmain_input2in themainmodule can change non-deterministically their value since there are noTRANSconstraints containing anextfor these variables.
Start of the the computation
Write the following LTL properties:
Whenever a computation starts, in the next step
is_donebecomes false.Whenever a computation starts, in the next step the result are reset to 0
Whenever a computation starts, in the next step the
tmp_input1is equal toinput1and thecounteris equal toinput2.Here, you would like to express that the
nextvalue oftmp_input1is equal to thecurrentvalue ofinput1. If you think carefully, you cannot easily express this fact with theXLTL operator, since you have to compare the value of a variable “at different times” (you can do it looking at each bit of the word, but it’s annoying). Instead, NuSMV allows you to use thenextoperator directly in the LTL formula. For example, you can write:LTLSPEC next(x) = xwhich says that the variable
xdoes not change value after the first transition.
While not computing
- When not computing nothing changes inside the module.
Check the computation
Each computation eventually terminates.
Whenever a computation starts,
tmp_input1does not change while the computation is ongoing.Whenever a computation ends, the computed result is correct.
Here, limit your specification to the case when the inputs
input1andinput2do not change while the computation is ongoing. You have to add this constraint explicitly in your LTL property (e.g., you need to specify in your assumptions thatG next(input1) = input1 ...).